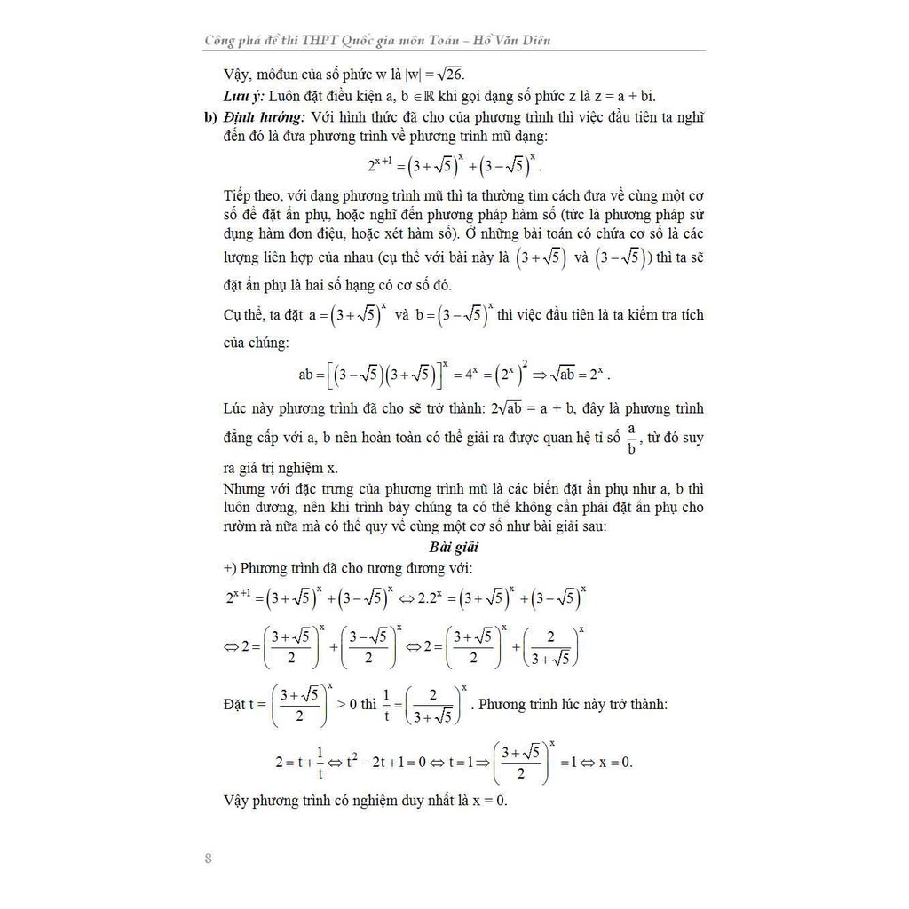
Sản phẩm Sách - Công Phá Đề Thi Thpt Quốc Gia Môn Toán Tự Luận đang có giá bán là 90,720đ. Hiện tại, đang có hàng sẵn tại shop của chúng tôi trên sàn TMĐT Shopee. Quý khách có thể ĐẾN NƠI BÁN để vào shop chúng tôi đặt mua online, trả góp, ship hỏa tốc, thanh toán thẻ visa/master, thông tin xuất hóa đơn đỏ (VAT) hay cần có thêm nhiều thông tin về sản phẩm.







